138期-《2021南方澳國際學術研討會》論文三:宜蘭縣沿近岸重要漁法漁業資源結構現況
2021/09/11 南方澳國際學術研討會 南方澳自然環境與產業 I 論文三
發表人:藍國瑋 / 國立臺灣海洋大學理學博士
評論人:陳文進 / 前宜蘭縣漁業管理所所長
編按
2021年適逢南方澳漁港建港一百週年,這是一個反省與再出發的契機。開港一百年,對南方澳及宜蘭乃至全台灣的歷史回顧,都是極具意義的一年。因此希望透過辦理「南方澳漁港百週年國際學術研討會」集合海內學界專家的參與,進行國際研討論述與交流,為百年的南方澳漁港留下紀錄,作為探討新方向的基礎資料。
蘭博電子報為延續並擴大相關議題的討論,會後將發表的論文取其摘要及結論逐期刊載。
摘要
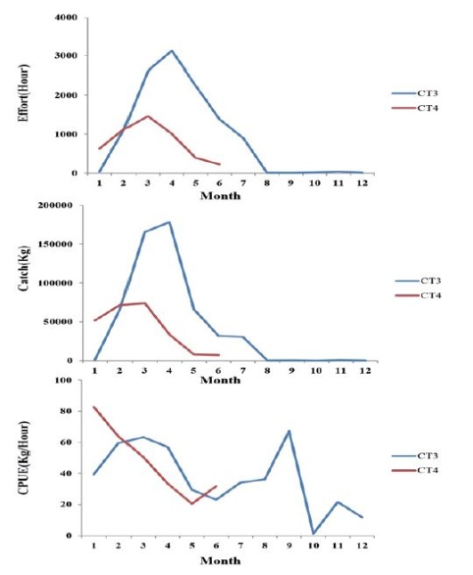
為解析宜蘭縣沿近岸重要漁法漁業動態與漁業資源結構現況,本計畫彙整所收集2013-2017年宜蘭縣港口訪查之各年別漁法別樣本船數,分析結果顯示查報樣本船中刺網占約8.84%,燈火漁業(棒受網與扒網)約占7.64%,而櫻花蝦拖網則占約4.42%之查報比例。各年別漁法別努力量時數刺網漁業約占約2.22%,扒網約 3.03%。漁獲量則以扒網漁業漁獲量258,042 公噸最高,占總體漁獲量約 81.11%,而刺網的漁獲量約占總漁獲量的0.8%,顯示各漁法作業型態上與漁獲量皆有所差異。
刺網主力作業漁船以10-50噸(CT2、CT3)之船隻為主,作業熱區則顯示出約在蘇澳外海(24.6°N)以南的海域為主要熱區,並依季節不同而有所變動。GAM模式對洄游與底棲性物種的解釋率56.2%與46.2%。燈火漁業則是以 50噸以上(CT4以上)之漁船為主,作業熱區涵蓋整個縣轄海域。櫻花蝦漁業則是以CT3-CT5噸級間之漁船為主,其20-50噸(CT3)漁船占整體比例約6成左右,作業熱區為蘇澳至頭城之沿近海域。
如能有效建構宜蘭縣沿近海之漁業動態與漁業資源結構,以提供相關單位未來在漁業資源保育區的效益評估或後續規劃在地重要性資源管理型漁業。
----<論文全文請見檔案下載>
